簡介:在電路設計過程中,常常可以利用自舉電容構成的自舉電路來改善電路的一些性能指標,比如增大電路的輸入阻抗、提高電路的增益以及擴大電路的動態(tài)范圍等等,在這里,我舉一個自舉電路的例子來詳細說明它是如何增大電路的輸入阻抗的。
首先,show一個很普通的原理圖如下,


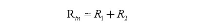
在上圖中,為了使得運放在靜態(tài)時能夠正常工作,必須得在同相輸入端與地之間加上一定阻值的電阻。經過簡單分析可知這里引入的是一個電壓串聯負反饋,熟悉運放工作原理的人一眼就可以看出這個電路的輸入電阻為:


很顯然,這樣的輸入電阻相對而言實在過小,圖中放大電路因此從信號源索取的電流就會相應很大,信號源內阻的壓降隨之增大,信號電壓損失自然也就越大。所以,我們得想辦法把它的輸入電阻給提高一下,這時,我們可以設置一個自舉電路的形式來有效的解決這個問題,解決辦法如下圖所示:


僅僅多加入了一個電容器,這個電路的輸入電阻就“今非昔比”了。利用瞬時極性法可以判斷出,電路中除了通過R4接反向輸入端引入一個負反饋外,還通過R1接同相輸入端而引入了一個正反饋,此時,R2和R3兩個電阻并聯在一起了。需要說明的是,這里電容(C1、C2)的選取值是比較大的,它們相對于交流信號來說相當于短路。正反饋的結果使得輸入端的動態(tài)電位隨之升高,也就是這種通過反饋使得輸入端的動態(tài)電位升高的電路,稱之為“自舉電路”。
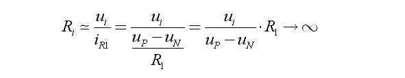
由于電容器C2很好的“通交隔直”特性,使得R1兩端的壓降即為(uP-uN),此時通過電阻R1的電流為:


我們再來看看這個電路的輸入電阻情況,可得出如下方程式:


顯而易見,對于該運放來說,由于電路中引入了深度負反饋,因此uP、uN幾乎是相等的,那么Ri就會趨于極大值了,輸入電阻也就得到了大幅度地提高,該電路的性能指標也因此得到了良好的改善。
本文結論:由此分析可知,在阻容耦合放大電路中,常常可以在引入負反饋的同時,引入合適的正反饋,以此提高電路的輸入阻抗,來有效改善電路的性能指標。
烜芯微專業(yè)制造二極管,三極管,MOS管,橋堆等20年,工廠直銷省20%,4000家電路電器生產企業(yè)選用,專業(yè)的工程師幫您穩(wěn)定好每一批產品,如果您有遇到什么需要幫助解決的,可以點擊右邊的工程師,或者點擊銷售經理給您精準的報價以及產品介紹
烜芯微專業(yè)制造二極管,三極管,MOS管,橋堆等20年,工廠直銷省20%,4000家電路電器生產企業(yè)選用,專業(yè)的工程師幫您穩(wěn)定好每一批產品,如果您有遇到什么需要幫助解決的,可以點擊右邊的工程師,或者點擊銷售經理給您精準的報價以及產品介紹

