1、雙端輸入單端輸出電路
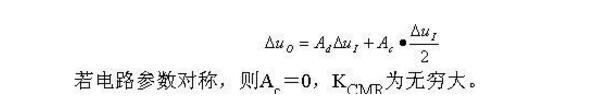
電路如右圖所示,為雙端輸入、單端輸出差分放大電路。由于電路參數不對稱,影響了靜態工作點和動態參數。
直流分析:
畫出其直流通路如右下圖所示,圖中和是利用戴維寧定理進行變換得出的等效電源和電阻,其表達式分別為:



交流分析:
在差模信號作用時,負載電阻僅取得T1管集電極電位的變化量,所以與雙端輸出電路相比,其差模放大倍數的數值減小。
如右下圖所示為差模信號的等效電路。在差模信號作用時,由于T1管與T2管中電流大小相等方向相反,所以發射極相當于接地。
輸出電壓:

一半。如果輸入差模信號極性不變,而輸出信號取自T2管的集電極,則輸出與輸入同相。
當輸入共模信號時,由于兩邊電路的輸入信號大小相等極性相同。與輸出電壓相關的T1管一邊電路對共模信號的等效電路如下:

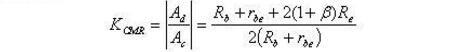
共模抑制比:

結論:Re愈大,Ac的值愈小,Kcmr愈大,電路的性能愈好。
2、單端輸入、雙端輸出電路
如下圖(a)所示為單端輸入、雙端輸出電路。電路對于差模信號是通過發射極相連的方式將T,管的發射極電流傳遞到T,管的發射極的,故稱這種電路為射極耦合電路。
如圖(b)所示將輸入信號進行等效變換,可看出,兩輸入端分別輸入了差模信號和共模信號。

可見,單端輸入電路與雙端輸入電路的區別在于:差模信號輸入的同時,伴隨著共模信號輸入。
輸出電壓

靜態工作點以及動態參數的分析完全與雙端輸入、雙端輸出相同。
3、單端輸入、單端輸出電路
如右圖所示為單端輸入、單端輸出電路,該電路對靜態工作點、差模增益、共模增益、輸入與輸出電阻的分析與單端輸出電路相同。對輸入信號的作用分析與單端輸入電路相同。

電話:18923864027(同微信)
〈烜芯微〉專業制造二極管,三極管,MOS管,橋堆等20年,工廠直銷省20%,上萬家電路電器生產企業選用,專業的工程師幫您穩定好每一批產品,如果您有遇到什么需要幫助解決的,可以點擊右邊的工程師,或者點擊銷售經理給您精準的報價以及產品介紹

