射極跟隨器電路
共集電極放大電路射極輸出器、射極跟隨器

圖1 射極輸出器電路
一、 靜態分析

二、動態分析

圖2 微變等效電路

圖3 微變等效電路
1. 電流放大倍數:(忽略Rb的分流

結 論:

2)輸入輸出同相,輸出電壓跟隨輸入電壓,故稱電壓跟隨器。
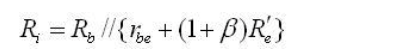
3. 輸入電阻

圖5 輸入電路圖

輸入電阻較大,作為前一級的負載,對前一級的放大倍數影響較小。
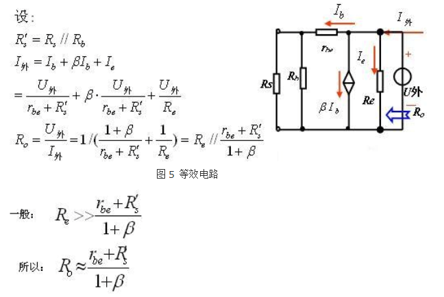
4. 輸出電阻
用加壓 求流法求輸出電阻。

圖5 等效電路
三極管 射極跟隨器電路
射極輸出器的輸出電阻很小,帶負載能力強。
射極輸出器特點:
電壓增益小于近似等于1,輸出電壓與輸入電壓同 相,輸入電阻高,輸出電阻低。
射極輸出器的使用
1、將射極輸出器放在電路的首級,可以提高輸入電阻。
2、將射極輸出器放在電路的 末級,可以降 低輸出電阻,提高帶負載能力。
3、將射極輸出器放在電路的兩級之間,可以起到電路的匹配作用。
例:
估算靜態工作 點,計算電流放大倍數、電壓放大倍數和輸入、輸出電阻。

圖6 例圖電路
可見:輸入電阻很大,輸出電阻很小。
〈烜芯微〉專業制造二極管,三極管,MOS管,橋堆等20年,工廠直銷省20%,上萬家電路電器生產企業選用,專業的工程師幫您穩定好每一批產品,如果您有遇到什么需要幫助解決的,可以點擊右邊的工程師,或者點擊銷售經理給您精準的報價以及產品介紹
電話:18923864027(同微信)
QQ:709211280〈烜芯微〉專業制造二極管,三極管,MOS管,橋堆等20年,工廠直銷省20%,上萬家電路電器生產企業選用,專業的工程師幫您穩定好每一批產品,如果您有遇到什么需要幫助解決的,可以點擊右邊的工程師,或者點擊銷售經理給您精準的報價以及產品介紹

